本网讯 近日,公司yl6809永利检测中心林木资源培育安徽省重点实验室黄兴召副教授在《Earth's Future》(IF=8.2,中科院一区)发表土地利用变化对土壤有机碳影响的最新研究论文,题目为“Land Use Change Alters Soil Organic Carbon: Constrained Global Patterns and Predictors”

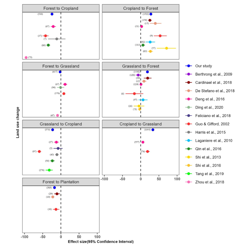
土壤是陆地生态系统最大的碳库,土壤有机碳储量(两米)是大气中碳含量的三倍。土地利用变化是仅次于化石燃料燃烧的第二大大气碳源,已成为全球环境变化的核心领域。由于观测的数量有限和地理偏差,土地利用变化对土壤有机碳的影响仍然缺乏全面的认知。我们从790篇文章中收集了84个国家7种土地利用变化类型的5980数据集,评估了森林转化农田、森林转化草地、森林转化人工林、农田转化森林、农田转化草地、草地转化农田、草地转化森林对土壤有机碳增加或者减少的绝对值和相对值,解析了气候、地形、土壤等10个变量对土壤有机碳影响的相对重要性。从1979年到2019年,退耕还林和还草仅恢复了49.5%和75.3%的土壤有机碳。我们的数据集促进了全面认识土地利用变化对土壤有机碳的影响,对开展不同土地利用变化类型有机碳变化的精准预测具有重要价值,对缓解气候变化和保障粮食安全具有重要意义。

yl6809永利检测中心yl6809永利检测中心黄兴召副教授为第一作者,中科院华南植物园博士后Muhammed Mustapha Ibrahim和侯恩庆研究员为共同通讯作者,美国康奈尔大学骆亦其教授和姜丽芬研究员,中科院地球环境研究所陈骥研究员参与了此项工作。yl6809永利检测中心为第一作者单位。研究获得了国家重点研发计划、国家自然科学基金、安徽省教育厅项目,安徽省重点研发计划,美国国家科学基金(NSF)、美国能源部橡树岭国家实验室项目、美国农业部(USDA)等项目的资助。
论文链接:https://doi.org/10.1029/2023EF004254